Sığorta şirkətlərinin 2021-ci ildəki yığımları və ödənişləri açıqlandı - SİYAHI
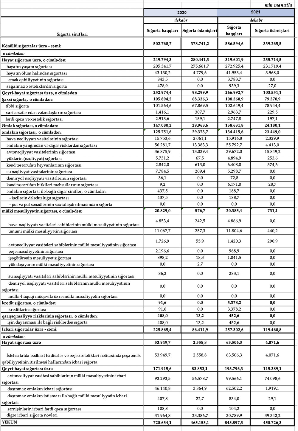
2021-ci il üzrə sığorta icmalı açıqlanıb.Mərkəzi Bank 2021-ci ildə sığortaçılar tərəfindən hesablanmış sığorta haqları və sığorta ödənişləri barədə məlumatları dərc edib.
Marja.az Mərkəzi Banka istinadən təqdim edir.

Müştərilərin xəbərləri
SON XƏBƏRLƏR
- 1 həftə sonra
- 1 həftə sonra
- 3 gün sonra
-
- 13 d. əvvəl
- 1 saat əvvəl
- 1 saat əvvəl
-
1 gün əvvəl
Birbank-la NFC ödənişləri tezliklə “Baku Bus”da: SINAQ mərhələsi başladı
-
1 gün əvvəl
"Top" tamamilə Kiyev və onun Avropa sponsorlarının tərəfindədir"
- 1 gün əvvəl
- 1 gün əvvəl
-
1 gün əvvəl
Cahan Şirkətlər Qrupuna daxil olan "Enna" şirkəti "Dayaq" mükafatına layiq görülüb
-
1 gün əvvəl
Nərimanovda premium mənzil arzulayanlar üçün 36 ayadək faizsiz kredit təklifi davam edir
Son Xəbərlər
Biznesiniz üçün QISA NÖMRƏ (Ulduz nömrə) alın
Azərbaycanda Vakansiyalar - Azvak.az
Ödənişsiz investisiya seminarı: Yatırımda təcrübə qazan
Paşinyan Rusiyaya səfər edəcək
Yeni m10kart - İstədiyin an, istədiyin yerdə ödə
"Top" tamamilə Kiyev və onun Avropa sponsorlarının tərəfindədir"
Dolların bazar ertəsi üçün rəsmi məzənnəsi müəyyən olunub
Bakcell-in lotereyasında 11-ci lüks avtomobil uduldu!
Nərimanovda premium mənzil arzulayanlar üçün 36 ayadək faizsiz kredit təklifi davam edir
Azərbaycan Dəmir Yolları "Dərnəgül" dayanacağını tikir
Vəhşi heyvan hücumları ilə bağlı fermerlərə çağırış edildi
"Balıq ehtiyatlarının bərpası üçün Xəzərə və daxili su hövzələrinə 17-35 milyon ədəd körpə balıq buraxmağa ehtiyac var"









.jpg)





.jpg)

