PAŞA Bank işlənmiş avtomobillərini satışa çıxarır - SİYAHI, QİYMƏTLƏR
“PAŞA Bank” ASC, balansında olan işlənmiş avtomobilləri hərrac yolu ilə satışa çıxarır.
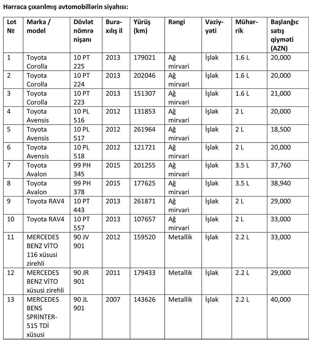
Marja-nın əldə etdiyi məlumata görə, hərrac üzrə təkliflərin son qəbul tarixi 22 Sentyabr 2021-ci ildir. Hərrac 27 Sentyabr 2021-ci il tarixində keçiriləcəkdir.
Hərrac qapalı keçiriləcək (qapalı zərflərdə daxil olmuş təkliflərin bankın müəyyən etdiyi səlahiyyətli qərarvermə orqanında açılması yolu ilə)
Hərrac üzrə təkliflər Yusif Məmmədəliyev küç., 13 ünvanında yerləşən “PAŞA Bank”ın Baş Ofisinə, Vəliyev Fərhad Əhməd oğlunun adına göndərilməlidir.
Hərrac üzrə təkliflər bağlı zərflərdə, üzərində hərracda iştirakla bağlı qeyd, kim tərəfindən göndərildiyi və Fərhad Vəliyevin adına göndərilməsi əks olunmaqla göndərilməlidir.
Avtomobillər Yusif Məmmədəliyev küç., 16-da yerləşən dayanacaqdadır.
Hərrac üzrə minimal təklif məbləği -Hər lot üzrə müəyyən edilmiş başlanğıc satış qiymətindən aşağı olmamalıdır.
Hərracda iştirak etmək üçün hesaba mədaxil olunacaq behin məbləğ 300 manatdır (İştirakçı qalib gəlmədiyi halda və ya təklifi hərrac keçirilməzdən öncə geri götürdüyü halda beh geri qaytarılır).
Hərracda iştirak etmək üçün gönədirləcək zərflərdə şəxs və ya onun səlahiyyətli nümayəndəsi tərəfindən imzalanmış və iştirak edəcəyi lot nömrəsini qeyd etməklə qiymət təklifi ərizəsi (hüquqi şəxs tərəfindən əlavə olaraq möhürlə təsdiq edilmiş) və ərizəyə aşağıdakı sənədlər əlavə edilir:
Aşağıda göstərilmiş bank hesabına behin köçürüldüyünü təsdiq edən sənəd (qəbzin üzərində şəxsin adı, FİN nömrəsi və Ş.V. nömrəsi əks edilməlidir);
- fiziki şəxslər tərəfindən şəxsiyyəti təsdiq edən sənədin notarial qaydada təsdiq edilmiş surəti;
- hüquqi şəxslər və (və ya) fərdi sahibkarlar tərəfindən vergi ödəyicisinin uçota alınması haqqında şəhadətnamənin surəti;
- şəxslə əlaqə saxlamaq üçün tələb olunan məlumatlar – ünvan və telefon nömrəsi.
- təklif şəxslərin nüməyəndəsi tərəfindən göndərildiyi halda, müvafiq etibarnamələr (hüquqi şəxslər üçün şirkət blankında imza möhürlü, fiziki şəxslər üçün notarial qaydada təsdiq edilmiş formada)
Aşağıdakı hallar müəyyən edildikdə, şəxslər hərracda iştirak etmək üçün buraxılmırlar:
1. hüquqi şəxs yenidən təşkil, ləğv və ya iflas prosesində olduqda;
2. şəxs özü haqqında dəqiq olmayan məlumat təqdim etdikdə;
3. sənədlər sifarişlərin qəbulu müddəti bitdikdən sonra təqdim edildikdə;
4. ərizə səlahiyyəti olmayan şəxs tərəfindən təqdim edildikdə;
5. elanda göstərilən siyahıya uyğun bütün sənədlər təqdim edilmədikdə, yaxud təqdim olunmuş sənədlər müvafiq qaydada tərtib olunmadıqda;
6. təklifin hansı lot üzrə verildiyini müəyyən etmək mümkün olmadıqda və ya təklif qiyməti satış qiymətindən aşağı olduqda.

Hərracın qalibinin müəyyən edilməsi qaydası aşağıdakı kimidir:
Daxil olmuş qapalı zərflərdəki təkliflər Bankın müəyyən etdiyi səlahiyyətli qərarvermə orqanında açılır və hər lot üzrə ən yüksək alış qiymətini vermiş şəxs həmin lot üzrə hərracın qalibi elan olunur. Əgər hər hansı bir lot üzrə 2 və daha çox ərizəçinin qiymət təklifi eyni olarsa hər bir ərizəçiyə yazılı müraciət edilir və daha yüksək qiymət təklifi verilməsi üçün 3 iş günü vaxt müəyyən edilir.
Hərrac nəticəsində qalib gəlmiş şəxsə (şəxslərə) yazılı məlumat verilir və 3 iş günü müddətində alış niyyətini təsdiq etməsi tələb olunur. Qalib gəlmiş şəxs alış niyyətini təsdiq etdikdən sonra 5 iş günü müddətində alqı-satqı həyata keçirilir. Qalib gəlmiş şəxs əmlakı almaqdan imtina etdikdə və ya 3 iş günü müddətində alış niyyətini təsdiq etmədikdə, verdiyi beh geri qaytarılmır və həmin əmlak üzrə qalib növbəti ən yüksək alış təklifi vermiş şəxs olaraq müəyyən edilir.
Məsul şəxs: Fərhad Vəliyev – İnzibatçılıq şöbəsinin rəhbəri
Əlaqə nömrəsi: +994 12 496 51 00
Beh məbləğinin köçürülməsi üçün Bank rekvizitləri:
“PAŞA Bank” Açıq Səhmdar Cəmiyyəti
Kod: 505141
VÖEN: 1700767721
Hesab №: AZ90PAHA45019AZNBL1200000001 (AZN)
SWIFT BIK: PAHAAZ22
Müştərilərin xəbərləri
SON XƏBƏRLƏR
-
1 saat əvvəl
Mərkəzi Bank 2026-cı ilin ilk iş gününün rəsmi məzənnəsini açıqladı
- 1 saat əvvəl
- 2 saat əvvəl
-
- 2 saat əvvəl
-
2 saat əvvəl
Dövlət şirkətlərini və publik hüquqi şəxsləri monitorinq edəcək agentlik yaradıldı - FƏRMAN
-
2 saat əvvəl
"Qızıl Fond üçün 11 milyard dollar gəlir formalaşdırıb" - AZƏRBAYCAN FONDUNUN DİREKTORU
- 2 saat əvvəl
-
2 saat əvvəl
Azad edilmiş ərazilərdə bir sıra obyektlər üçün elektrikə qoşulma xidməti pulsuz oldu
-
2 saat əvvəl
Dünya Bankı qiymətləndirməsində Azərbaycanın maliyyə xidmətləri üzrə 101 ölkə arasında zirvədə
- 2 saat əvvəl
-
2 saat əvvəl
Ölkədə ilk dəfə - “PAŞA Bank” yeni POS nağdlaşdırma funksiyasını istifadəyə verdi
-
3 saat əvvəl
Hər 20 litr Aİ-92 benzin və ya 10 litr dizel 1 manat baha başa gələcək
Son Xəbərlər
Mərkəzi Bank 2026-cı ilin ilk iş gününün rəsmi məzənnəsini açıqladı
6,3 milyard manatlıq defisiti olan "Azərbaycan Dəmir Yolları" 331 investordan 30 milyon dollar borc aldı
"Hazırda yumurta Gürcüstanda 43 qəpiyə, Türkiyədə 33 qəpiyə, Azərbaycanda isə 16-19 qəpiyə satılır. Nəticələr, çox əladır"
“Azercell Könüllüləri” uşaqlara bayram sevinci yaşadıb
"Qızıl Fond üçün 11 milyard dollar gəlir formalaşdırıb" - AZƏRBAYCAN FONDUNUN DİREKTORU
Dünya Bankı qiymətləndirməsində Azərbaycanın maliyyə xidmətləri üzrə 101 ölkə arasında zirvədə
Birbank-da əlavə 3 ay taksitlə bayramı dolu-dolu yaşayın
Ən çox oxunanlar
Dövlət bir sıra məhsul və xidmətlər üzrə qiymətlərə dəyişiklik etdi
“SİMA İmza”nın tərəfdaş sayı 100-ə çatdı
ABB-dən daha 3 hesabat!
Azərbaycanda Aİ-92 markalı benzin və dizel bahalaşdı
























