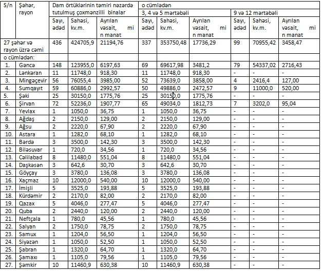
436 binanın dam örtüyü təmir ediləcək - 21 MİLYON MANATLIQ SƏRƏNCAM
Azərbaycan Respublikasının Prezidenti İlham Əliyev, "Azərbaycan Respublikasının şəhər və rayonlarında çoxmənzilli binaların dam örtüklərinin təmiri ilə bağlı əlavə tədbirlər haqqında" Sərəncam imzalayıb.
"Marja" xəbər verir ki, Sərəncama əsasən, Azərbaycanın 27 şəhər və rayonunda 436 çoxmənzilli binanın dam örtüyünün təmiri məqsədi ilə “Azərbaycan Respublikasının 2018-ci il dövlət büdcəsi haqqında” Azərbaycan Respublikası Qanununun tətbiqi ilə bağlı bir sıra məsələlər barədə” Azərbaycan Respublikası Prezidentinin 2017-ci il 25 dekabr tarixli 1756 nömrəli Fərmanının 1.14.3.3.9-cu (islahatlarla bağlı xərclər) yarımbəndində nəzərdə tutulan vəsaitdən 21 194 760 (iyirmi bir milyon bir yüz doxsan dörd min yeddi yüz altmış) manat bu Sərəncama əlavə olunmuş siyahıya uyğun şəhər, rayon icra hakimiyyətlərinə ayrılıb.
Dam örtüklərinin təmiri nəzərdə tutulmuş çoxmənzilli binaların şəhər və rayonlar üzrə bölgüsünə dair siyahı
Müştərilərin xəbərləri
SON XƏBƏRLƏR
- 1 həftə sonra
- 1 həftə sonra
- 1 gün sonra
-
- 12 saat əvvəl
-
12 saat əvvəl
"Azərbaycan Dəmir Yolları"da 6 milyard 263 milyon manatlıq defisit - ÖTƏN İL ZƏRƏRİ 18 DƏFƏ ARTIB
- 13 saat əvvəl
-
13 saat əvvəl
Bakcell “Media Savadlılığı” Konfransının innovasiya tərəfdaşıdır
- 13 saat əvvəl
- 14 saat əvvəl
-
15 saat əvvəl
11 ayda kərə yağı idxalı Azərbaycandan təxminən 160 milyon dolların çıxmasına səbəb olub
-
15 saat əvvəl
Dövlət şirkəti istiqraz buraxılışı yolu ilə 30 milyon dollar borc alır
- 15 saat əvvəl
Son Xəbərlər
Biznesiniz üçün QISA NÖMRƏ (Ulduz nömrə) alın
Azərbaycanda Vakansiyalar - Azvak.az
Ödənişsiz investisiya seminarı: Yatırımda təcrübə qazan
Dövlət Vergi Xidmətinin rəisinə 2 yeni müşavir təyin edilib
Elektron siqaretlərin idxalı və satışı ilə məşğul olan şirkətlər ciddi narahatdırlar – “DAHA UZUN ZAMANA EHTİYACIMIZ VAR”
Dolların sabah üçün rəsmi məzənnəsi müəyyən olunub
Vergi nəzarətində yeni mərhələyə keçid planlaşdırılır - elektron audit tədbirinin ləğvi nəzərdə tutulur
Ən çox oxunanlar
11 ayda kərə yağı idxalı Azərbaycandan təxminən 160 milyon dolların çıxmasına səbəb olub
1 ton Azərbaycan narının ixracından gəlir 100 dollar artıb
Bakı metrosunun reklam gəlirləri açıqlanıb
"KƏPƏZ BOKT"ın istiqrazlarına 55 investor 55 sifariş təqdim edib, emissiya tam məbləğdə yerləşdirilib
11 ayda Azərbaycana 108 milyon dollara yaxın gəlir gətirən məhsul














.jpg)






.jpg)
