Depozitlərdə dollarlaşma aşağı düşür
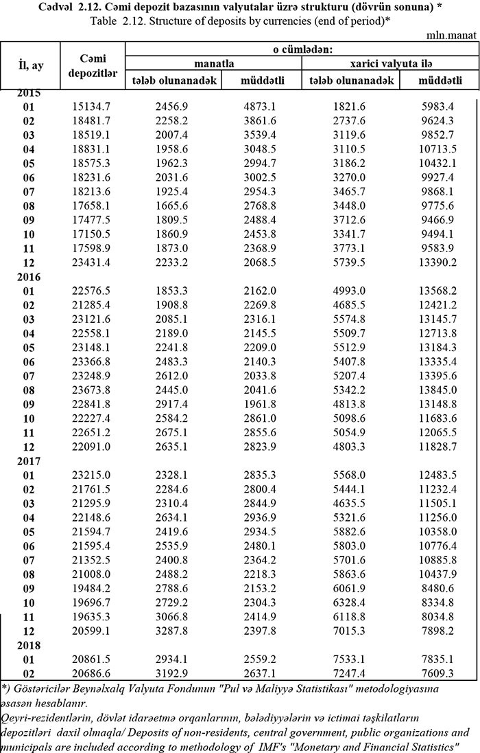
2018-ci ilin Fevral ayının sonuna banklarda cəmi depozitlər 20 milyard 686.6 milyon manat təşkil edib.
"Marja" Mərkəzi Bankın statistikasına istinadən xəbər verir ki, depozitərin 5 milyard 830 milyon manatı və ya 28,2%-i milli valyutada, 14 milyard 856,7 milyon manatı və ya 71,8%-i xarici valyutada olub.
Yanvar ayında bu nisbətlər müvafiq olaraq 26,3% və 73,7% təşkil etmişdi.
Müştərilərin xəbərləri
Azercell-in dəstəyi ilə “RobotChallenge 2026” üzrə Azərbaycanda milli seçim mərhələsinin hazırlıq işləri davam edir
OBA FMCG sektorunda ilkə imza atıb – “Sənin ideyan dəstəklənir” İnnovativ Həllər Marafonunun qalibləri müəyyənləşib – FOTO-VİDEO
SON XƏBƏRLƏR
- 1 ay sonra
- 1 həftə sonra
- 1 gün əvvəl
-
- 1 gün əvvəl
-
1 gün əvvəl
S&P Azərbaycanın bank sektoru qiymətləndirməsini yaxşılaşdırıb
- 1 gün əvvəl
- 1 gün əvvəl
-
1 gün əvvəl
Nazir fermerlətin üzləşdikləri çətinliklərin həllinə köməklik etməyi tapşırıb
- 1 gün əvvəl
-
1 gün əvvəl
AZAL 20–30 mart tarixlərində 4 xarici şəhərə reys sayını artıracaq
-
1 gün əvvəl
Epştein sənədlərində adı çəkilən böyük liman operatorunun rəhbəri işdən çıxarılıb
-
1 gün əvvəl
Bu avtomobillərin idxalı ƏDV-dən, aksizdən və gömrük rüsumundan azad edilir
Son Xəbərlər
Azərbaycanda Vakansiyalar - Azvak.az
Kriptovalyuta ticarəti kursu
Fevralın 15-də gözlənilən hava şəraiti
Azərbaycan neftinin son qiyməti
"Domino’s Pizza"nın "İnşaatçılar" filialı açılır
İlham Əliyev Neçirvan Bərzani ilə görüşüb
AZAL 20–30 mart tarixlərində 4 xarici şəhərə reys sayını artıracaq
Bu əşyaların ölkəyə idxalı əlavə dəyər vergisindən azad edilir
Prezident İlham Əliyev Almaniyada səfərdədir
Rusiya Mərkəzi Bankı faiz dərəcəsini ardıcıl 6-cı dəfə endirib - Qərar bazar üçün gözlənilməz olub

























