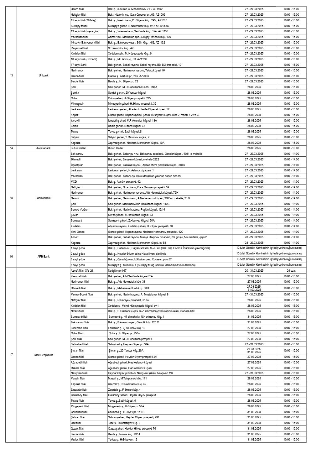
Bayram günlərində bankların iş qrafiki açıqlandı
Bayram günlərində 17 bankın 212 satış nöqtəsi müştərilərə xidmət göstərəcək.20 – 31 mart 2025–ci tarixləri olan qeyri-iş günlərində bankların və “Azərpoçt” MMC-nin bəzi filial və şöbələri, habelə valyuta mübadilə məntəqələri fəaliyyət göstərəcəklər.
Bu barədə Mərkəzi Bank məlumat yayıb.
Qeyd edilib ki, bayram günlərində ölkəmizdə səfərdə olan turistlərin və ölkə vətəndaşlarının valyuta mübadiləsi xidmətlərinə davamlı çıxış imkanlarının təmin edilməsi məqsədilə ümumilikdə 17 bankın 212 satış nöqtəsi (o cümlədən, 4 bank üzrə 9 satış nöqtəsi 24 saat rejimində olmaqla), “Azərpoçt” MMC-nin 30 poçt filialı və şöbəsi, valyuta mübadiləsinə lisenziya almış 8 valyuta mübadiləsi məntəqəsi (o cümlədən, 2-i 24 saat rejimində olmaqla) müştərilərə xidmət göstərəcək.
Bayram günlərində iş qrafiki:
Müştərilərin xəbərləri
SON XƏBƏRLƏR
- 1 həftə sonra
- 1 həftə sonra
- 4 gün sonra
-
-
14 saat əvvəl
"Top" tamamilə Kiyev və onun Avropa sponsorlarının tərəfindədir"
- 14 saat əvvəl
- 15 saat əvvəl
-
15 saat əvvəl
Cahan Şirkətlər Qrupuna daxil olan "Enna" şirkəti "Dayaq" mükafatına layiq görülüb
-
15 saat əvvəl
Nərimanovda premium mənzil arzulayanlar üçün 36 ayadək faizsiz kredit təklifi davam edir
-
15 saat əvvəl
“Naxtel” abunəçilərinin digər mobil operatorlara miqrasiyası uğurla tamamlanıb
-
15 saat əvvəl
Şikayətlərin yarıya yaxını internet və telefon rabitəsi xidmətlərilə bağlı olub
- 16 saat əvvəl
- 16 saat əvvəl
Son Xəbərlər
Biznesiniz üçün QISA NÖMRƏ (Ulduz nömrə) alın
Azərbaycanda Vakansiyalar - Azvak.az
Ödənişsiz investisiya seminarı: Yatırımda təcrübə qazan
"Top" tamamilə Kiyev və onun Avropa sponsorlarının tərəfindədir"
Bakcell-in lotereyasında 11-ci lüks avtomobil uduldu!
Nərimanovda premium mənzil arzulayanlar üçün 36 ayadək faizsiz kredit təklifi davam edir
Azərbaycan Dəmir Yolları "Dərnəgül" dayanacağını tikir
Vəhşi heyvan hücumları ilə bağlı fermerlərə çağırış edildi
"Balıq ehtiyatlarının bərpası üçün Xəzərə və daxili su hövzələrinə 17-35 milyon ədəd körpə balıq buraxmağa ehtiyac var"
10 illik proqramı 3 ilə mənimsəmək imkanı - VİDEO+FOTO
Ucuz təbii qaz Avropanın sənaye böhranını həll etmədi
Xalq Bankda yeni təyinatlar









.jpg)









.jpg)
