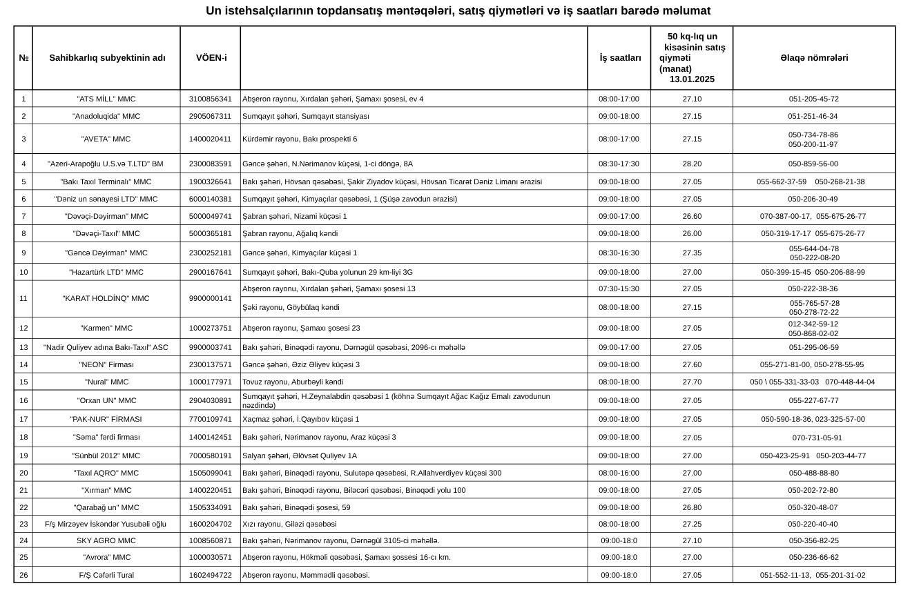
Dünyada buğda ucuzlaşsa da, Azərbaycanda un istehsalçıları qiymətləri artırıb
50 kq-lıq un kisəsinin qiymətləri 50 qəpyədək artırılıb.İqtisadiyyat Nazirliyi yanında Antiinhisar və İstehlak Bazarına Nəzarət Dövlət Xidməti 10 fevral 2025-ci il tarixinə "Un istehsalçılarının topdansatış məntəqələri, satış qiymətləri" bardə məlumatları açıqlayıb.
Marja.az-ın əvvəlki qiymətlər ilə apardığı müqayisəsi göstərir ki, son 1 ayda un qiymətləri artırılıb.
Belə ki, 14 Yanvar 2025-ci il tarixində açıqlanmış məlumatda 50 kq-lıq un kisəsinin satış qiymətiləri 26 manat - 28,20 manat civarında ikən, dünüən açıqlanan qiymətlərdən məlum olur ki, artıq un istehsalçılarının topdansatış satış qiymətləri 26,50 manat 28,20 manat civarındadır. Unun kisəsini 27 manatın üzərində təklif edən əksər istehsalçılar qiymətləri 10-50 qəpik civarında artırıblar.
Qeyd edək ki, dünya bazarlarda buğdanın qiyməti artmayıb, əksinə düşüb. Birləşmiş Millətlər Təşkilatının (BMT) Ərzaq və Kənd Təsərrüfatınnın (FAO) Taxıl Qiymətləri İndeksinə görə, taxıl qiymətləri yanvar ayında aylıq müqayisədə 0,3 faiz artsa da, illik müqayisədə 6,9 faiz azalıb. Yanvar ayında buğdanın ixrac qiymətləri cüzi azalma göstərib. Zəif idxal tələbi qiymətlərə təzyiq göstərib.
Un istehsalçılarının topdansatış məntəqələri, satış qiymətləri və iş saatları barədə məlumat - 10.02.2025

Un istehsalçılarının topdansatış məntəqələri, satış qiymətləri və iş saatları barədə məlumat - 10.01.2025

Müştərilərin xəbərləri
SON XƏBƏRLƏR
- 2 həftə sonra
- 10 saat əvvəl
- 1 gün əvvəl
-
- 2 gün əvvəl
- 2 gün əvvəl
-
2 gün əvvəl
Coca-Colanın rəhbəri Türk Dünyasını əhatə edən mükafata layiq görülüb
-
2 gün əvvəl
Nazir Rəşad Nəbiyev “AMD” şirkətinin baş vitse-prezidenti ilə görüşüb
- 2 gün əvvəl
-
2 gün əvvəl
Azərbaycanın ilk premium smart yaşayış kompleksi - İNŞASINA BAŞLANILIR
- 2 gün əvvəl
-
2 gün əvvəl
Balaxanıdakı çay evi - Həyat Sığortası tərəfindən ödənilmiş borc
-
2 gün əvvəl
Azərbaycan əhalisinin 11 ayda 81 milyard manata yaxın gəlir əldə etdiyi bildirilir
Son Xəbərlər
Azərbaycanda Vakansiyalar - Azvak.az
Azərbaycan neftinin son qiyməti
Daha 606 nəfər hərbi qulluqçu mənzillə təmin olunacaq
Havanın temperaturu 5-7 dərəcə enəcək - XƏBƏRDARLIQ
Bu il Azərbaycanda hər gün orta hesabla 57 boşanma olub
Ən çox oxunanlar
Balaxanıdakı çay evi - Həyat Sığortası tərəfindən ödənilmiş borc
Azərbaycanın avtomobil istehsalında tənəzzül dərinləşir
Noyabrda dövlət büdcəsinin profisiti azalıb
Barclays 2026-cı il üçün Brent neftinin qiymət proqnozunu açıqladı
Dekabrın 13-də gözlənilən hava şəraiti























.jpg)




