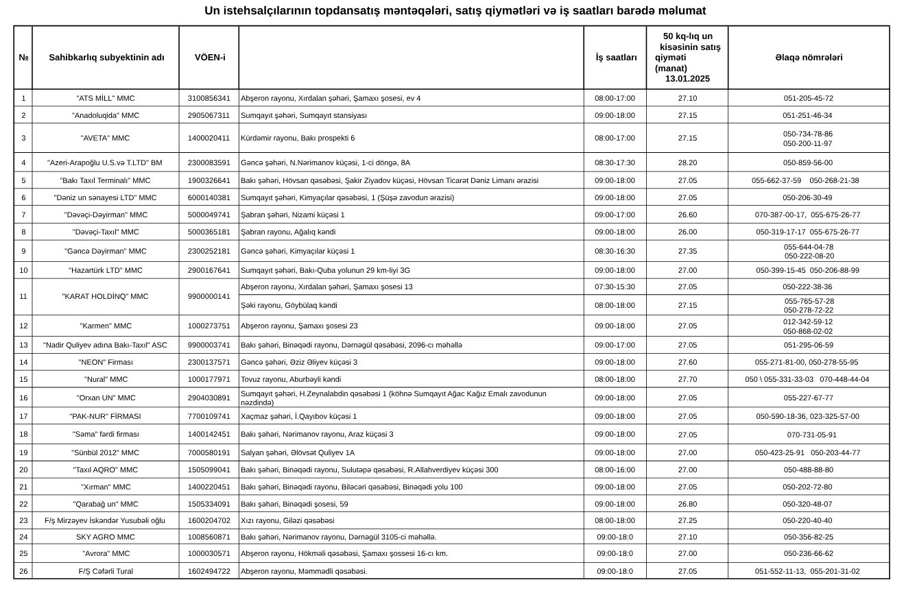
Dövlət Xidməti unun topdansatış qiymətləri barədə məlumat yayıb
Hazırda Azərbaycanda 50 kq-lıq un kisələrinin topdansatış qiymətləri 26-28 manat arasında dəyişir.
İqtisadiyyat Nazirliyi yanında Antiinhisar və İstehlak Bazarlarına Nəzarət Dövlət Xidməti Un istehsalçılarının topdansatış məntəqələri, satış qiymətləri və iş saatları barədə məlumat yayıb.
Qeyd edilib ki, 13 Yanvar 2025-ci il tarixində 50 kq-lıq un kisəsinin satış qiymətləri 26 manat - 28.20 manat civarındadır.
Müştərilərin xəbərləri
SON XƏBƏRLƏR
- 1 həftə sonra
- 1 həftə sonra
- 5 gün sonra
-
-
3 d. əvvəl
Hökməli və Qobuda yolların təmirinə 1,4 milyon manat ayrıldı
- 9 d. əvvəl
- 15 d. əvvəl
- 38 d. əvvəl
-
42 d. əvvəl
Azərbaycana körfəz və MDB ölkələrindən gələnlərin sayı azalıb
-
49 d. əvvəl
Naxçıvanda 136 layihə üzrə yeni istehsal və xidmət sahələri yaradılıb, sahibkarlarının ixracı artıb
- 50 d. əvvəl
-
1 saat əvvəl
“Araz” supermarketlər şəbəkəsi “Dayaq” mükafatına layiq görülüb
-
2 saat əvvəl
"Ölkəmizdə səhiyyə sistemi öz inkişafının yeni mərhələsinə qədəm qoyub"
Son Xəbərlər
Biznesiniz üçün QISA NÖMRƏ (Ulduz nömrə) alın
Azərbaycanda Vakansiyalar - Azvak.az
Ödənişsiz investisiya seminarı: Yatırımda təcrübə qazan
Hökməli və Qobuda yolların təmirinə 1,4 milyon manat ayrıldı
Azərbaycandan Gürcüstana və İrana gedənlərin sayı artıb, Rusiya və Türkiyəyə gedənlərin sayı isə azalıb
Naxçıvanda 136 layihə üzrə yeni istehsal və xidmət sahələri yaradılıb, sahibkarlarının ixracı artıb
ABB növbəti dəfə yüksək təhlükəsizlik sertifikatı aldı!
Ən çox oxunanlar
“Araz” supermarketlər şəbəkəsi “Dayaq” mükafatına layiq görülüb
Unicapital “Yeni Nəsil Maliyyə” forumunun sponsoru olub
Makron: Avropa Putinlə dialoqu bərpa etməlidir
Restoranda yanğın baş verib
Azərbaycan şirkəti müflis elan olunacaq
"Bu qərar əlavə risklər, xərclər və ictimai narazılıq yaradır" - ATİA-DAN TƏKLİFLƏR
5-ci böyük bank qazancını bölüşdürməyə hazırlaşır










.jpg)



.jpg)


